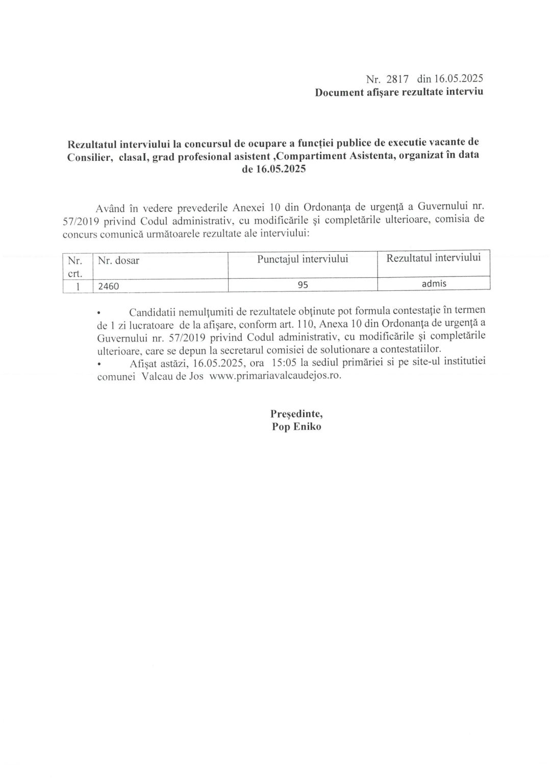
Rezultat interviu – concurs compartiment Asistenta Socială din data de 16.05.2025
Mai multe noutăți
Barem de corectare – concurs – post contractual Educator
28 Aprilie, 2026
Proces verbal selectie dosare Educator
21 Aprilie, 2026
Proces verbal final – concurs Asistent Medical Comunitar
16 Aprilie, 2026
Valcău de Jos
3°C
cer acoperit de nori
Răsărit: 06:15
Apus: 20:37
Vineri
14/2°C
Sâmbătă
16/4°C
Duminică
17/5°C